
Termeni utili: explicația termenilor folosiți în statisticile la loterii
Indiferent cum îți alegi numerele atunci când joci la loto, este important să înțelegi câțiva termeni de bază care te vor ajuta să folosești în avantajul tău rezultatele și statisticile. Mai jos găsești o listă cu explicațiile termenilor statistici pe care îți recomandăm să îi cunoști înainte de a paria.
Remiza.
Remiza reprezintă numărul de extrageri consecutive în care un număr (sau o combinație de numere) nu a fost extras.
Remiza actuală.
Este remiza (pauza) înregistrată la momentul curent. De reținut că valoarea acesteia poate fi diferită în funcție de perioada de timp la care ne raportăm (de exemplu, ultimele 7 zile, ultimele 30 de zile, de la începutul loteriei etc.).

Remiza maximă.
Este cel mai mare număr de extrageri consecutive în care un număr (sau o combinație de numere) nu a fost extras într-o anumită perioadă. I se mai spune și „remiza maximă istorică".

Exemplu:
- La o anumită loterie, numărul 59 are o remiză actuală de 1 extragere și o remiză maximă de 34 de extrageri, înregistrată în ultimele 7 zile.
- „Remiza maximă 34" înseamnă că, în acest interval de 7 zile, numărul 59 nu a avut niciodată o pauză (o serie de extrageri consecutive fără apariție) mai lungă de 34 de extrageri.
Top apariţii.
Reprezintă numerele (sau combinațiile de numere) care au fost extrase cel mai des, fie într-o anumită perioadă, fie de la începutul loteriei.

Top remize.
Reprezintă numerele (sau combinațiile de numere) cu cele mai mari pauze înainte de a fi extrase, fie într-o anumită perioadă, fie de la începutul loteriei.

Top reci.
Reprezintă numerele (sau combinațiile de numere) care au fost extrase de cele mai puține ori într-o anumită perioadă.

Pariul Simplu.
Este pariul în care toate numerele alese trebuie să fie extrase pentru ca biletul să fie câștigător.
Exemplu:
- Dacă pariezi 1 leu pe combinația de trei numere (1, 2, 3), pentru a câștiga trebuie ca toate aceste 3 numere să fie extrase.
Calculul câștigului:
- Se face înmulțind suma mizată cu cota oferită de casa de pariuri.
- De exemplu, la un pariu simplu de 2 lei pe 3 numere cu cota de 70/1. Câștigul se calculează astfel:
2×70=140 lei
Pariul sistem
Pariul în care nu ești obligat să nimerești toate numerele pentru a obține câștig. Trebuie doar să îndeplinești o condiție minimă de câștig (de exemplu, 3/5, 4/6, etc.).
Exemplu de sistem 3/5:
- Pariezi 5 numere, iar condiția de câștig este să ghicești cel puțin 3 din cele 5.
- Dacă sunt extrase 3, 4 sau 5 dintre numerele pariate, biletul este câștigător. Cu cât sunt extrase mai multe din cele 5 numere alese, cu atât câștigul este mai mare.
Exemplu practic:
- Mizezi 1 lei pe un sistem 3/5 la Loteria „Multi Polonia", alegând numerele 1, 2, 3, 4, 5 cu cota de 70.
- Sistemul 3/5 generează toate combinațiile posibile de 3 numere din cele 5 alese (adică 10 variante).
- Miza pe fiecare combinație = 1 lei ÷ 10 = 0,10 lei.
Exemple situatii sistem 3/5:
| Se extrag 3 numere (1 singură variantă din cele 10) |
| Variante câștigătoare: 1 |
| Calcul: 70 × 1 × 0,10 = 7,00 lei |
| Total câștig: 7,00 lei |
| Se extrag 3 numere (4 variante câștigătoare din cele 10) |
| Variante câștigătoare: 4 |
| Calcul: 70 × 4 × 0,10 = 28,00 lei |
| Total câștig: 28,00 lei |
| Se extrag 5 numere (toate cele 5 alese) |
| Variante câștigătoare: 10 |
| Calcul: 70 × 10 × 0,10 = 70 lei |
| Total câștig: 70 lei |
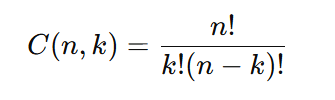
Combinaţii posibile.
Reprezintă numărul total de variante unice într-un sistem.
Formulă generală:

Exemplu:
- Sistem 3/10: C(10,3) = reprezintă combinaţiile posibile de 3 numere din totalul de 10 numere = 120 combinaţii posibile
- Sistem 4/11: C(11,4) = reprezintă combinaţiile posibile de 4 numere dintr-un total de 11 numere = 330 combinaţii posibile
- Sistem 7/12: C(12,7) = reprezintă combinaţiile posibile de 7 numere dintr-un total de 12 numere = 792 combinaţii posibile.
Schemele reduse.
Reprezintă sisteme (variante) desfășurate inteligent, astfel încât să reduci numărul de combinații jucate, asigurându-ți în același timp un anumit nivel minim de câștig dacă îndeplinești condiția minimă.
Exemplu:
- Un sistem 5/10 (toate combinațiile de 5 numere dintr-un total de 10) are 252 variante (C(10,5)).
- O „schemă redusă" 5/10 poate avea doar 14 variante selectate matematic, astfel încât dacă se extrag 5 din cele 10 numere, vei avea garantat măcar o variantă cu 4/5 numere corecte.
- Avantajul este că joci mai puține variante (deci costuri mai mici), dar încă ai șanse la un anumit nivel de câștig.
Probabilităţile.
Reprezintă șansele matematice de apariție a unui număr sau a unei combinații de numere într-un anumit context (extragere de loterie, sistem etc.).
Pentru a calcula probabilitatea apariției unui anumit rezultat, împarți numărul de combinații favorabile la numărul total de combinații posibile.
Exemplu de probabilitate simplă:
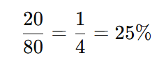
Într-o loterie 20/80 (se extrag 20 de numere din 80), probabilitatea ca un număr să apară este:

Deci, probabilitatea de apariţie a unui număr este de 1/4, sau exprimat în procente, 25%.
Probabilități la loterii 20/80 (aprox.):
- 1 număr: 1/4 (25%)
- 2 numere: 1/16,63
- 3 numere: 1/72
- 4 numere: 1/326
- 5 numere: 1/1550
- 6 numere: 1/7752
- 7 numere: 1/40979
- 8 numere: 1/230114
De reţinut!
Cotele oferite de casele de pariuri se bazează pe aceste probabilități, însă vor fi mai mici decât valoarea teoretică matematică, pentru a menține marja casei.
